Examples using the Metropolis+F(M) sampling method
The metropolis!(...; f = f) method samples an energy of the form:
\[E = -\sum_{\langle i,j\rangle} s_i s_j + f(M)\]
where $f(M)$ is a function of the total magnetization,
\[M = \sum_i s_i\]
Note that $M$ is not normalized by the number of spins. Also note that the temperature multiplies both the original Ising energy, and $f(M)$:
\[- \beta E = \beta\sum_{\langle i,j\rangle} s_i s_j - \beta f(M)\]
Therefore the system prefers configurations with lower values of f(M).
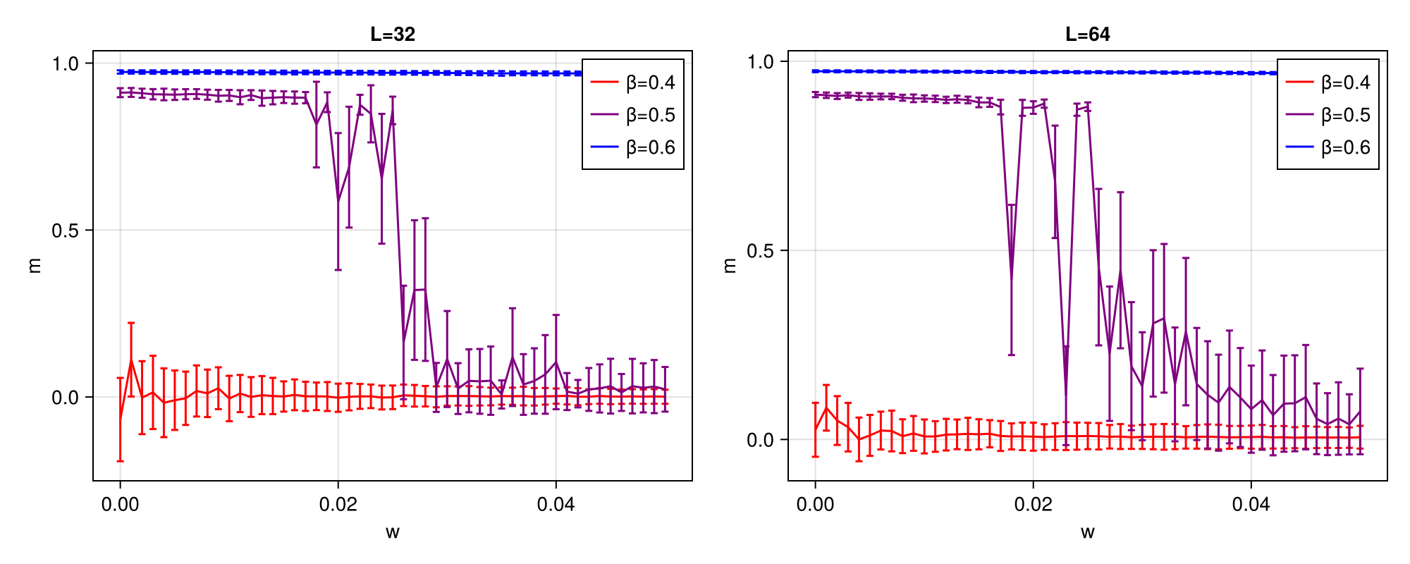
We will consider the above energy with the modified term $f(M) = w|M|/\beta$. Here $|M|$ is the absolute value of the magnetization. $w$ is a factor that weights this term in the energy, and we divide by $\beta$, so that the overall system looks like this:
\[- \beta E = \beta\sum_{\langle i,j\rangle} s_i s_j - w|M|\]
First load required packages.
import IsingModels as Ising
using Statistics, Random
using LogExpFunctions, CairoMakie, IrrationalConstantsTry to make output reproducible
Random.seed!(1)Define the parameter ranges we will consider.
ws = 0:0.001:0.050 # weight of extra term
Ls = [32, 64]
βs = [0.4, 0.5, 0.6] # inverse temperatures
cs = [:red, :purple, :blue] # colorsSimulate and collect data.
magnetization_avg = Dict{typeof((β=first(βs), w=first(ws), L=first(Ls))), Float64}()
magnetization_std = Dict{typeof((β=first(βs), w=first(ws), L=first(Ls))), Float64}()
for β in βs, w in ws, L in Ls
f(M::Real) = w * abs(M) / β
σ = trues(L, L)
σ_t, M, E = Ising.metropolis!(σ, β; steps=10^7, f=f)
magnetization_avg[(β=β, w=w, L=L)] = mean(M)
magnetization_std[(β=β, w=w, L=L)] = std(M)
endNow let's plot the results.
fig = Figure(resolution=(1000, 400))
for (iL, L) in enumerate(Ls)
ax = Axis(fig[1,iL], xlabel="w", ylabel="m", title="L=$L")
for (iβ, (β, color)) in enumerate(zip(βs, cs))
mavg = [magnetization_avg[(β=β, w=w, L=L)] / L^2 for w in ws]
mstd = [magnetization_std[(β=β, w=w, L=L)] / L^2 for w in ws]
lines!(ax, ws, mavg, label="β=$β", color=color)
errorbars!(ax, ws, mavg, mstd/2, whiskerwidth=5, color=color)
end
axislegend(ax, position=:rt)
end
fig
We now try the function $f(M) = \log\cosh(wM) / \beta$, so that:
\[- \beta E = \beta\sum_{\langle i,j\rangle} s_i s_j - \log\cosh(w M)\]
First collect some data.
magnetization_avg = Dict{typeof((β=first(βs), w=first(ws), L=first(Ls))), Float64}()
magnetization_std = Dict{typeof((β=first(βs), w=first(ws), L=first(Ls))), Float64}()
for β in βs, w in ws, L in Ls
f(M) = logcosh(w * M) / β
σ = trues(L, L)
σ_t, M, E = Ising.metropolis!(σ, β; steps=10^7, f=f)
magnetization_avg[(β=β, w=w, L=L)] = mean(M)
magnetization_std[(β=β, w=w, L=L)] = std(M)
endNow plot the result.
fig = Figure(resolution=(1000, 400))
for (iL, L) in enumerate(Ls)
ax = Axis(fig[1,iL], xlabel="w", ylabel="m", title="L=$L")
for (iβ, (β, color)) in enumerate(zip(βs, cs))
mavg = [magnetization_avg[(β=β, w=w, L=L)] / L^2 for w in ws]
mstd = [magnetization_std[(β=β, w=w, L=L)] / L^2 for w in ws]
lines!(ax, ws, mavg, label="β=$β", color=color)
errorbars!(ax, ws, mavg, mstd/2, whiskerwidth=5, color=color)
end
axislegend(ax, position=:rt)
end
fig
This page was generated using Literate.jl.