Examples using Wolff cluster sampling method
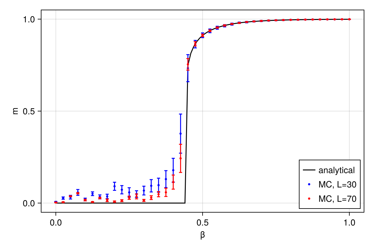
Magnetization as a function of temperature
First load some packages
import IsingModels as Ising
using Statistics, CairoMakie, Random
Random.seed!(1) # make reproducibleFirst example.
βs = 0:0.025:1
fig = Figure(resolution=(600,400))
ax = Axis(fig[1,1], xlabel="β", ylabel="m")
lines!(ax, 0:0.01:1, Ising.onsager_magnetization, color=:black, label="analytical")
mavg = zeros(length(βs))
mstd = zeros(length(βs))
σ = bitrand(32, 32)
for (k,β) in enumerate(βs)
σ_t, M, E = Ising.wolff!(σ, β, steps=10^3)
m = abs.(M[(length(M) ÷ 2):end]) / length(σ)
mavg[k] = mean(m)
mstd[k] = std(m)
end
scatter!(ax, βs, mavg, color=:blue, markersize=5, label="MC, L=30")
errorbars!(ax, βs, mavg, mstd/2, color=:blue, whiskerwidth=5)
mavg = zeros(length(βs))
mstd = zeros(length(βs))
σ = bitrand(64, 64)
for (k,β) in enumerate(βs)
σ_t, M, E = Ising.wolff!(σ, β, steps=10^3)
m = abs.(M[(length(M) ÷ 2):end]) / length(σ)
mavg[k] = mean(m)
mstd[k] = std(m)
end
scatter!(ax, βs, mavg, color=:red, markersize=5, label="MC, L=70")
errorbars!(ax, βs, mavg, mstd/2, color=:red, whiskerwidth=5)
axislegend(ax, position=:rb)
fig
Typical Wolff clusters at criticality
import IsingModels as Ising
using Random, Colors, ColorSchemes, CairoMakie
Random.seed!(56) # reproducibility
β = Ising.βc
σ = bitrand(512, 512)
Ising.metropolis!(σ, β; steps=10^7)
Ising.wolff!(σ, β, steps=500)
cluster = Ising.wolff_cluster(σ, CartesianIndex(256, 256), Ising.wolff_padd(β))
fig = Figure(resolution=(700, 350))
ax = Axis(fig[1,1], title="spins")
hmap = heatmap!(ax, σ, colormap=cgrad([:purple, :orange], [0.5]; categorical=true))
hidedecorations!(ax)
ax = Axis(fig[1,2], title="cluster")
hmap = heatmap!(ax, cluster, colormap=cgrad([:white, :black], [0.5]; categorical=true))
hidedecorations!(ax)
fig
Average size of Wolff's clusters as a function of temperature
import IsingModels as Ising
using Random, Statistics, Colors, ColorSchemes, CairoMakie
Random.seed!(1) # make reproducible
Ts = 0:0.2:5
βs = inv.(Ts)
fig = Figure(resolution=(600,400))
ax = Axis(fig[1,1], xlabel=L"temperature $T$", ylabel=L"average Wolff's cluster size / $N$")
clavg = zeros(length(βs))
clstd = zeros(length(βs))
σ = bitrand(32, 32)
for (k,β) in enumerate(βs)
σ_t, M, E = Ising.wolff!(σ, β, steps=10^3)
cluster_size = abs.(M[2:end] - M[1:(end - 1)]) .÷ 2
clavg[k] = mean(cluster_size / length(σ))
clstd[k] = std(cluster_size / length(σ))
end
scatter!(ax, Ts, clavg, color=:blue, markersize=5, label="L=30")
lines!(ax, Ts, clavg, color=:blue)
errorbars!(ax, Ts, clavg, clstd/2, color=:blue, whiskerwidth=5)
clavg = zeros(length(βs))
clstd = zeros(length(βs))
σ = bitrand(64, 64)
for (k,β) in enumerate(βs)
σ_t, M, E = Ising.wolff!(σ, β, steps=10^3)
cluster_size = abs.(M[2:end] - M[1:(end - 1)]) .÷ 2
clavg[k] = mean(cluster_size / length(σ))
clstd[k] = std(cluster_size / length(σ))
end
scatter!(ax, Ts, clavg, color=:red, markersize=5, label="L=70")
lines!(ax, Ts, clavg, color=:red)
errorbars!(ax, Ts, clavg, clstd/2, color=:red, whiskerwidth=5)
vlines!(ax, [1 / Ising.βc], label=L"Onsager's $T_c$", color=:black, linestyle=:dash)
axislegend(ax, position=:rt)
fig
Wolff explores configurations efficiently at the critical temperature
The following example shows how at the critical temperature, the Metropolis sampler gets stuck in particular cluster structures. In contrast the Wolff algorihm explores diverse states.
using Statistics, CairoMakie, Random
import IsingModels as Ising
Random.seed!(3) # reproducibility
L = 128
N = L^2
σ_t_metro, M_metro, E_metro = Ising.metropolis!(falses(L, L), Ising.βc; steps=10^6, save_interval=2*10^5)
σ_t_wolff, M_wolff, E_wolff = Ising.wolff!(falses(L, L), Ising.βc, steps=10^4, save_interval=2*10^3)
fig = Figure(resolution=(1000, 800))
for t in 1:size(σ_t_metro, 3)
ax = Axis(fig[1,1][1,t], title="t=$t, metropolis")
heatmap!(ax, σ_t_metro[:,:,t], colorrange=(0,1), colormap=cgrad([:purple, :orange], [0.5]; categorical=true))
hidedecorations!(ax)
end
for t in 1:size(σ_t_wolff, 3)
ax = Axis(fig[1,1][2,t], title="t=$t, wolff")
heatmap!(ax, σ_t_wolff[:,:,t], colorrange=(0,1), colormap=cgrad([:purple, :orange], [0.5]; categorical=true))
hidedecorations!(ax)
end
ax = Axis(fig[2,1][1,1], title="magnetization")
lines!(ax, M_wolff[1:10:end] / N, label="wolff")
lines!(ax, M_metro[1:1000:end] / N, label="metropolis", linewidth=2, color=:red)
ylims!(ax, (-1,1))
ax = Axis(fig[2,1][1,2], title="energy")
lines!(ax, E_wolff[1:10:end] / N, label="wolff")
lines!(ax, E_metro[1:1000:end] / N, label="metropolis", linewidth=2, color=:red)
axislegend(ax, position = :rb)
fig
Binder's parameter
As the system size grows, the crossing point of the different curves is the critical temperature.
using Statistics, CairoMakie, Random
import IsingModels as Ising
Random.seed!(1) # make reproducible
Ts = 2.2:0.01:2.3
βs = inv.(Ts)
fig = Figure(resolution=(600, 400))
ax = Axis(fig[1,1], xlabel=L"temperature $T$ ($=1/\beta$)", ylabel="Binder parameter")
@time for (L, color) in zip([4, 8, 16, 32], [:green, :orange, :blue, :red])
U = zeros(length(βs))
σ = bitrand(L, L)
for (k, β) in enumerate(βs)
σ_t, M, E = Ising.wolff!(σ, β, steps=10^5)
U[k] = (3 - mean(M.^4) / mean(M.^2)^2) / 2
end
scatter!(ax, Ts, U, color=color, markersize=5, label=L"L=%$L")
lines!(ax, Ts, U, color=color, markersize=5)
end
vlines!(ax, [1 / Ising.βc], label=L"Onsager's $T_c$", color=:black, linestyle=:dash)
axislegend(ax, position=:lb)
fig
Heat capacity vs. exact expression
using Statistics, CairoMakie, Random
import IsingModels as Ising
Random.seed!(1) # make reproducible
Ts = 1.8:0.01:3
βs = inv.(Ts)
fig = Figure(resolution=(800, 400))
ax = Axis(fig[1,1], xlabel=L"temperature $T$ ($=1/\beta$)", ylabel="heat capacity", limits=(extrema(Ts)..., 0,2))
@time for (L, color) in zip([4, 8, 16, 32], [:green, :orange, :blue, :red])
C = zeros(length(βs))
for (k, β) in enumerate(βs)
σ = bitrand(L, L)
σ_t, M, E = Ising.wolff!(σ, β, steps=10^5)
C[k] = β^2/length(σ) * var(E)
end
scatter!(ax, Ts, C, color=color, markersize=5, label=L"L=%$L")
end
lines!(ax, Ts, Ising.onsager_heat_capacity.(βs), color=:black, label="exact")
vlines!(ax, [1 / Ising.βc], label=L"Onsager's $T_c$", color=:black, linestyle=:dash)
Legend(fig[1,2], ax)
fig
Internal energy vs. exact expression
using Statistics, CairoMakie, Random
import IsingModels as Ising
Random.seed!(1) # make reproducible
Ts = 1.8:0.05:3
βs = inv.(Ts)
fig = Figure(resolution=(800, 400))
ax = Axis(fig[1,1], xlabel=L"temperature $T$ ($=1/\beta$)", ylabel="internal energy")
@time for (L, color) in zip([4, 8, 16, 32], [:green, :orange, :blue, :red])
Eavg = zeros(length(βs))
Estd = zeros(length(βs))
for (k, β) in enumerate(βs)
σ = bitrand(L, L)
σ_t, M, E = Ising.wolff!(σ, β, steps=10^5)
Eavg[k] = mean(E / length(σ))
Estd[k] = std(E / length(σ))
end
scatter!(ax, Ts, Eavg, color=color, markersize=5, label=L"L=%$L")
errorbars!(ax, Ts, Eavg, Estd/2, color=color, whiskerwidth=5)
end
lines!(ax, Ts, Ising.onsager_internal_energy.(βs), color=:black, label="exact")
vlines!(ax, [1 / Ising.βc], label=L"Onsager's $T_c$", color=:black, linestyle=:dash)
Legend(fig[1,2], ax)
fig
This page was generated using Literate.jl.